|
開關電源可分為直流開關電源和交流開關電源,是按輸出來區分的,交流開關電源輸出的是交流電,而直流開關電源輸出的是直流電,這里介紹的是直流開關電源。隨著相關元器件的發展,直流開關電源以其高效率在很多場合代替線性電源而獲得廣泛應用。
直流開關電源與線性電源相比一般成本較高,但在有些特別場合卻更簡單和便宜,甚至幾乎只能用開關電源,如升壓和極性反轉等。直流開關電源還可分為隔離的和不隔離的兩種,隔離的是采用變壓器來實現輸入與輸出間的電氣隔離,變壓器還便于實現多路不同電壓或多路相同電壓的輸出。
直流開關電源結構復雜,設計和分析都有較特別的一套理論和方法,這里主要介紹6種基本的不隔離的直流開關電源結構形式和其特點,便于依據應用場合來選擇使用。
理想假定:為便于分析,常假定存在如下理想狀態
1. 電子器件理想:電子開關管Q和D的導通和關斷時間為零,通態電壓為零,斷態漏電流為零
2. 電感和電容均為無損耗的理想儲能元件,且開關頻率高于LC的諧振頻率
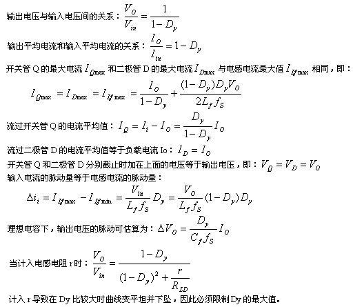
3. 在一個開關周期內,輸入電壓Vin保持不變
4. 在一個開關周期內,輸出電壓有很小的紋波,但可認為基本保持不變,其值為Vo
5. 不計線路阻抗
6. 變換器效率為100%
一、Buck變換器:也稱降壓式變換器,是一種輸出電壓小于輸入電壓的單管不隔離直流變換器。

圖中,Q為開關管,其驅動電壓一般為PWM(Pulse width modulation脈寬調制)信號,信號周期為Ts,則信號頻率為f=1/Ts,導通時間為Ton,關斷時間為Toff,則周期Ts=Ton+Toff,占空比Dy= Ton/Ts。
Buck變換器有兩種基本工作方式:
CCM(Continuous current mode):電感電流連續模式,輸出濾波電感Lf的電流總是大于零
DCM(Discontinuous current mode):電感電流斷續模式,在開關管關斷期間有一段時間Lf的電流為零
1.1 CCM時的基本關系:

1.2 DCM時的基本關系:

DCM可分為兩種典型情況:
輸入電壓Vin不變,輸出電壓Vo變化,常用作電動機速度控制或充電器對蓄電池的恒流充電
輸入電壓Vin變化,輸出電壓Vo恒定,即普通開關穩壓電源
1.3 電感電流臨界連續的邊界:

1.3.1 輸入電壓恒定不變時:Vin=const

可畫出Buck變換器在Vin=const時的外特性曲線:

圖中虛線為電感電流臨界連續的邊界,內部為電流斷續區,外面為電流連續區。
理想情況下,在電流斷續區輸出電壓僅由占空比Dy確定。實際電路中,因元器件的非理想化,在電感電流的連續區,Buck變換器的外特性也是下降的,即Io加大,Vo降低。為保持Vo不變,在Io增加時,要適當加大占空比Dy。
1.3.2 輸出電壓恒定不變時:Vo=const

可畫出Buck變換器在Vo=const時的標幺特性曲線:

圖中虛線為電感電流臨界連續的邊界,右上方為電流連續區,左下為電流斷續區。
在電感電流臨界連續時,若加大負載,則進入電流連續工作區;減小負載,則進入電流斷續區。
若負載不變,減小輸入電壓Vin,為使Vo不變,應加大Dy,也進入電流連續區。
二、Boost變換器:也稱升壓式變換器,是一種輸出電壓高于輸入電壓的單管不隔離直流變換器。

開關管Q也為PWM控制方式,但最大占空比Dy必須限制,不允許在Dy=1的狀態下工作。電感Lf在輸入側,稱為升壓電感。Boost變換器也有CCM和DCM兩種工作方式。
2.1 CCM時的基本關系:
Q導通時為電感Lf儲能階段,此時電源不向負載提供能量,負載靠儲于電容Cf的能量維持工作;Q關斷時,電源和電感共同向負載供電,此時還給電容Cf充電。變換器必須接負載,不然會因能量不斷送到負載端而使Vo不斷升高而損壞。

2.2 DCM時的基本關系:

在電流斷續時,即使輸入電壓Vin不變,為了保持輸出電壓Vo恒定,也要隨負載電流的不同來調整占空比Dy。

2.3 電感電流臨界連續的邊界:

2.3.1 輸入電壓恒定不變時:Vin=const

2.3.2 輸出電壓恒定不變時:Vo=const

2.3.3 電感電流臨界連續的邊界曲線:上方為電感電流連續區,下方為斷續區

電流斷續時,開關管Q導通期間存儲在電感Lf中的磁能在Q截至期間全部通過二極管D轉移到輸出端,如果變換器不接負載電阻,或電阻太大,必使Vo不斷增加,因此沒有電壓閉環調節的Boost變換器不能在輸出端開路情況下工作。
三、Buck/Boost變換器:也稱升降壓式變換器,是一種輸出電壓既可低于也可高于輸入電壓的單管不隔離直流變換器,但其輸出電壓的極性與輸入電壓相反。Buck/Boost變換器可看做是Buck變換器和Boost變換器串聯而成,合并了開關管。

Buck/Boost變換器也有CCM和DCM兩種工作方式,開關管Q也為PWM控制方式。
3.1 CCM時的基本關系:
電感Lf用于儲能和轉換能量,Q導通時電感Lf儲能,負載由電容Cf供電;Q關斷時,電感向負載供電。

3.2 DCM時的基本關系:

3.3 電感電流臨界連續的邊界:

3.3.1 輸入電壓恒定不變時:Vin=const

3.3.2 輸出電壓恒定不變時:Vo=const

3.3.3 電感電流臨界連續的邊界曲線:上方為電感電流連續區,下方為斷續區

由圖可見,在Vo=const時,如果Dy<0.5,即Vo<Vin,變換器很容易進入電感電流斷續區。
由于這種變換器的輸出電流和電感電流不同,故二者的邊界不相同,輸出電流Io的邊界線在電感電流的下方,因為Io只是電感電流的一部分。
四、Cuk變換器:美國加州理工學院Slobodan Cuk提出的對Buck/Boost改進的單管不隔離直流變換器,在輸入輸出端均有電感,可以顯著減小輸入和輸出電流的脈動,同樣是輸出電壓的極性與輸入電壓相反,同樣是輸出電壓既可低于也可高于輸入電壓。Cuk變換器可看做是Boost變換器和Buck變換器串聯而成,合并了開關管。

開關管Q也為PWM控制方式。Cuk變換器也有CCM和DCM兩種工作方式,但不是指電感電流,而是指流過二極管的電流連續或斷續。在一個開關周期中開關管Q的截止時間(1-Dy)Ts內,若二極管電流總是大于零,則為電流連續;若二極管電流在一段時間內為零,則為電流斷續工作;若二極管電流在t=Ts時剛降為零,則為臨界連續工作方式。
Cuk變換器中有兩個電感,這兩個電感之間可以沒有耦合,也可以有耦合,耦合電感可進一步減小電流脈動量。
分析時增加一個假設:耦合電容C1容量很大,變換器在穩態工作時C1的電壓基本保持恒定。
4.1 CCM時的基本關系:
Cuk變換器中,電源能量經過3次變換才到負載。第一次是Q導通,電感L1儲能增長,電能轉換為磁儲能;第二次是Q截止,L1的磁能轉移為C1的電能存儲著;第三次是Q導通,C1的電能轉移到負載和輸出回路的電感L2和電容Cf。實際上,第一、三次兩個轉換是同時進行的。

Cuk變換器中兩電感電流增長率和下降率僅與Vin、Vo和自身電感大小有關。電感確定后,兩電流增長率只由Vin大小決定,分別為Vin/L1和Vin/L2;下降率只與Vo有關,分別為Vo/L1和Vo/L2。
4.2 DCM時的基本關系:

4.3 兩電感有耦合的Cuk變換器:
如果兩電感L1和L2繞在同一鐵芯上,
則兩個電感互相耦合,除自感外還有互感M,通常用耦合系數k來表示耦合程度:

耦合電感可以進一步減小輸入電流和輸出電感電流的脈動。
五、Zeta變換器:有兩個電感和耦合電容的單管不隔離直流變換器,輸出電壓極性和輸入電壓相同。Zeta變換器可看做是Buck/Boost變換器和Buck變換器串聯而成,合并了開關管。

Zeta變換器是電感輸出,所以輸出電流脈動很小,開關管Q也為PWM控制方式。
分析時假設耦合電容C1容量很大,變換器在穩態工作時C1的電壓基本保持恒定。
5.1 CCM時的基本關系:

5.2 DCM時的基本關系:

六、Sepic變換器:有兩個電感和耦合電容的單管不隔離直流變換器,輸出電壓極性和輸入電壓相同。Sepic變換器可看做是Boost變換器和Buck/Boost變換器串聯而成,合并了開關管。

Sepic變換器是電感輸入,所以輸入電流脈動很小,開關管Q也為PWM控制方式。
分析時假設耦合電容C1容量很大,變換器在穩態工作時C1的電壓基本保持恒定。
CCM時的基本關系:

|