紫金橋組態軟件濾波點
摘要:分析了采用數字濾波消除隨機干擾的優點, 介紹各種數字濾波算法的適用范圍。
關鍵字:紫金橋組態軟件 濾波點 濾波算法
引言:
在工業控制中,現場的輸入信號容易受信號源本身、傳感器、外界等干擾,為了進行準確測量和控制,必須消除被測信號中的噪聲和干擾。這些非周期的不規則隨機信號可以用數字濾波方法予以削弱或濾除。
數字濾波點是用軟件實現的,不需要增加硬設備,因而可靠性高、穩定性好,不存在阻抗匹配問題。
數字濾點可以根據信號的不同,采用不同的濾波方法或濾波參數,具有靈活、方便、功能強的特點。
常用數字濾波算法:
數字濾波點是將一組輸入數字序列進行一定的運算而轉換成另一組輸出數字序列,設數字濾波點的輸入為X(n),輸出為Y(n),則輸入序列和輸出序列之間的關系可用差分方程式表示為:

其中:輸入信號X(n)可以是模擬信號經采樣和A/D變換后得到的數字序列。
1 算術平均值濾波
算術平均值濾波是要尋找一個Y,使該值與各采樣值X(K)(K=1~N)之間誤差的平方和為最小,即:

這時,可滿足式(3)。式(4)便是算術平均值濾波的算法。
設第二次測量的測量值包含信號成分Si和噪聲成分Ci,則進行N次測量的信號成分之和為:

噪聲的強度是用均方根來衡量的,當噪聲為隨機信號時,進行N次測量的噪聲強度之和為:

式(5)和式(6)中,S、C分別表示進行N次測量后信號和噪聲的平均幅度。
這樣對N次測量進行算術平均后的信噪比為:

其中,S/C是求算術平均值前的信噪比。因此采用算術平均值后,使信噪比提高了

倍。
算術平均值法適用于對一般具有隨機干擾的信號進行濾波,這種信號的特點是有一個平均值,信號在某一數值范圍附近作上下波動,此時僅取一個采樣值作依據顯然是不準確的,如壓力、流量、液平面等信號的測量。但對脈沖性干擾的平滑作用尚不理想,因此他不適用于脈沖性干擾比較嚴重的場合。由式(7)可知,算術平均值法對信號的平滑濾波程度完全取決于N。當N較大時,平滑度高,但靈敏度低,即外界信號的變化對測量計算結果Y的影響小;當N較小時,平滑度低,但靈敏度高。應視具體情況選取N,以便既少占用計算時間,又達到最好的效果,如對一般流量測量,可取N=8~16,對壓力等測量,可取N=4。
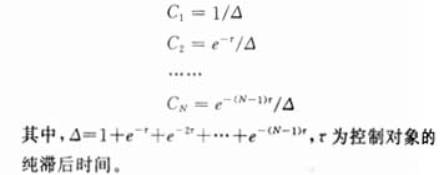
2.2 加權平均值濾波 算術平均值法對每次采樣值給出相同的加權系數,即1/N。但有些場合為了改進濾波效果,提高系統對當前所受干擾的靈敏度,需要增加新采樣值在平均值中的比重,即將各采樣值取不同的比例,然后再相加,此方法稱為加權平均值法。一個N項加權平均式為:

常數C1,C2,…,CN的選取是多種多樣的,其中常用的是加權系數法,即:

加權平均值法適用于系統純滯后時間常數τ較大、采樣周期較短的過程,他給不同的相對采樣時間得到的采樣值以不同的權系數,以便能迅速反應系統當前所受干擾的嚴重程度。但采用加權平均值法需要測試不同過程的純滯后時間τ,同時要不斷計算各權系數,增加了計算量,降低了控制速度,因而他的實際應用不如算術平均 值法廣泛。
2.3 滑動平均值濾波
以上平均濾波算法有一個共同點,即每計算1次有效采樣值必須連續采樣N次。對于采樣速度較慢或要求數據計算速率較高的實時系統,這些方法是無法使用的。例如A/D數據,數據采樣速率為每秒10次,而要求每秒輸入4次數據時,則N不能大于2。滑動平均值法只采樣1次,將本次采樣值和以前的N-1次采樣值一起求平均,得到當前的有效采樣值。
滑動平均值法把N個采樣數據看成一個隊列,對列的長度固定為N,每進行一次新的采樣,把采樣結果放入隊尾,而扔掉原來隊首的一個數據,這樣在隊列中始終有N個“最新”的數據。計算濾波值時,只要把隊列中的N個數據進行平均,就可得到新的濾波值。
滑動平均值法對周期性干擾有良好的抑制作用,平滑度高,靈敏度低;但對偶然出現的脈沖性干擾的抑制作用差,不易消除由于脈沖干擾引起的采樣值的偏差。因此他不適用于脈沖干擾比較嚴重的場合,而適用于高頻振蕩系統。通過觀察不同N值下滑動平均的輸出響應來選取N值,以便既少占用時間,又能達到最好的濾波效果。其工程經驗值為:流量N取12,壓力N取4,液面N取4~12,溫度N取1~4。
2.4 中值濾波
中值濾波是對某一被測參數連續采樣N次(一般N取奇數),然后把N次采樣值從小到大,或從大到小排隊,再取其中間值作為本次采樣值。
中值濾波對于去掉偶然因素引起的波動或采樣器不穩定而造成的誤差所引起的脈沖干擾比較有效,對溫度、液位等變化緩慢的被測參數采用此法能收到良好的濾波效果,但對流量、速度等快速變化的參數一般不易采用。
2.5 程序判斷濾波
工程實踐表明,許多物理量的變化都需要一定的時間,相鄰兩次采樣值之間的變化有一定的限度。程序判斷濾波就是根據實踐經驗確定出相鄰兩次采樣信號之間可能出現的最大偏差ΔY,若超出此偏差值,則表明該輸入信號是干擾信號,應該去掉;若小于此偏差值,可將信號作為本次采樣值。
當采樣信號由于隨機干擾,如大功率用電設備的啟動或停止,造成電流的尖峰干擾或誤檢測,以及變送器不穩定而引起的嚴重失真等,可采用程序判斷法進行濾波。
程序判斷濾波根據濾波方法的不同,可分為限幅濾波和限速濾波2種。
2.5.1 限幅濾波
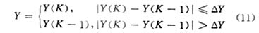
限幅濾波把兩次相鄰的采樣值相減,求出其增量(以絕對值表示),然后與兩次采樣允許的最大差值(由被控對象的實際情況決定)ΔY進行比較,若小于或等于ΔY,則取本次采樣值;若大于ΔY,則仍取上次采樣值作為本次采樣值。即:

限幅濾波主要用于變化比較緩慢的參數,如溫度、物理位置等測量系統。具體應用時,關鍵的問題是最大允差ΔY的選取,ΔY太大,各種干擾信號將“乘虛而入”,使系統誤差增大;ΔY太小,又會使某些有用信號被“拒之門外”,使計算機采樣效率變低。因此,門限值ΔY的選取是非常重要的。通常可根據經驗數據獲得,必要時也可由實驗得出。
2.5.2限速濾波
限速濾波最多可用3次采樣值來決定采樣結果,設順序采樣時刻t1,t2,t3的采樣值分別為Y(1),Y(2),Y(3),則

限速濾波較為折中,既照顧了采樣的實時性,又顧及了采樣值變化的連續性。但這種方法也有明顯的缺點:
(1)△Y的確定不夠靈活,必須根據現場的情況不斷更換新值;
(2)不能反映采樣點數N>3時各采樣值受干擾的情況,因而其應用受到一定的限制。具體應用時,可用(|Y(1)-Y(2)|+|Y(2)-Y(3)|)/2作為ΔY,這樣也可基本保持限速濾波的特性,雖增加計算量,但靈活性提高了。
2.6 復合數字濾波
為了進一步提高濾波效果,有時可以把2種或2種以上不同濾波功能的數字濾波器組合起來,組成復合數字濾波器,或稱多級數字濾波器。
例如防脈沖干擾平均值濾波就是一種應用實例,由于這種濾波方法兼顧了中值濾波和算術平均值濾波的優點,所以無論對緩慢變化的信號,還是對快速變化的信號,都能獲得較好的濾波效果。
此外,也可采用雙重濾波的方法,即把采樣值經過低通濾波后,再經過一次高通濾波。這樣,結果更接近理想值,這實際上相當于多級RC濾波器。
3 結語
每種濾波算法都有其各自的特點,在實際應用中,究竟選取哪一種數字濾波算法,應根據具體的測量參數合理的選用。不適當地應用數字濾波,不僅達不到濾波效果,反而會降低控制品質,甚至失控,這點必須予以注意。