李剛
摘要:針對現在工程中實際應用的混合有源電力濾波器拓撲結構,分析了系統的濾波原理,并建立了系統的數學模型。在實際工程應用中,電網電壓對有源濾波器直流側電壓會產生影響,因此檢測濾波器輸出電流對保證混合有源電力濾波器安全工作有很重要的意義。本文分析了輸出電流檢測誤差對系統的影響,并根據分析結果選取了相應的LEM電流傳感器。
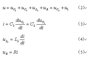
關鍵詞:有源電力濾波器 注入電路 數學模型 直流電壓
ABSTRACT:Compared with hybrid power filter widely used at present, a novel high capacity hybrid power filter based on injection circuit is proposed here to meet the requirements of harmonic elimination. The principle of the system is discussed and the math model is built. The novel APF can compensate reactive power and also be applicable in high power system. The paper analyzes the voltage of the power network affect the DC voltage of the active power filter. The simulation experiments validate the efficiency of the system.
Key Words: active power filter injection circuit math model DC voltage
中圖分類號:TM711 文獻標識碼:A
1 引言
隨著電力系統中諧波問題越來越嚴重,有源電力濾波器逐漸成為研究熱點。在實際工程應用中,為了提高有源濾波器的容量,并且要適應在高壓系統中應用,有源電力濾波器的拓撲結構也在不斷改進。
本文從適用于中高壓系統中的混合有源電力濾波器出發,分析了電網電壓對于有源電力濾波器的影響,并且在此基礎上給出了解決方案——對輸出電流的檢測以控制有源濾波器的投切。
2 系統結構
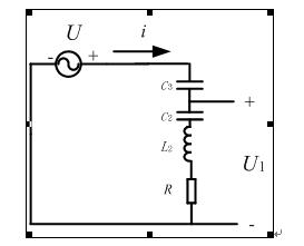
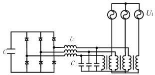
混合有源電力濾波器[2]的結構圖如圖1所示。

Fig.1 Hybrid Active Power Filter Circuit
這種結構主要是讓C2和L2構成基波諧振,C3承擔電網電壓,這樣就減小的有源濾波器承擔的基波電壓和電流。系統注入支路中,由于C2和L2構成基波諧振,C3就相當于補償無功的電容器,因此系統補償無功的容量也是由C3確定的。
這種拓撲結構在主電路結構上采用了注入方式,APF仍起諧波補償的目的,PF分擔大部分諧波和無功補償,最大限度地減少了有源濾波器的容量。而且注入支路中基波諧振電路使有源濾波器APF承擔極小的基波電壓,即使在6~10KV系統中,有源濾波器承擔的基波電壓也在100V以下[2]。
3 電網電壓對系統的影響
從電網側考慮整個系統,無源電路的單相電路簡化如圖2所示。因為C2和L2構成基波諧振電路,R為電感L2的內阻,因為有源部分的C1,L1以及逆變器對變壓器電網側分壓基本沒影響,基本不予考慮。

圖2 無源支路單相電路圖
Fig.2 Single-phase equivalent circuits of PF
電網電壓為

當電壓閃變時,相當于系統的零狀態響應。系統電壓方程為:

式(2)兩邊求導,并將式(3)(4)(5)代入其中可以得到:

系統是一個二階系統。根據系統方程可以得微分方程的特征方程:

由于L2和C2構成基波諧振電路,所以:

式中
為基波的角頻率。
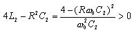
根據一般工程應用可知:電感的內阻R很小,
可以得到:
即:

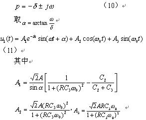
因此可以解得:

根據式(11)可知,基波諧振支路的分壓是一個衰減振蕩過程,對于電力開關元件IGBT來說,由于續流二極管的原因,相當于向直流側電容充電。其電路圖如圖3所示

圖3 系統反向整流電路
Fig.3 the reverse rectifier circuit of the system
根據基波諧振電路的分壓就可以得到二極管整流橋的直流側電壓為:

由此可以看出,當電網電壓發生突變時,可能造成有源濾波器的直流電容過壓損壞,因此這時需要將有源濾波器與電網切斷。這樣就需要對逆變器的輸出進行檢測,以控制有源濾波器的投切。
4. 輸出電流檢測
在有源濾波器的閉環控制中也要檢測輸出電流,在這種混合有源電力濾波器的拓撲結構中,直流電容C的電壓必須通過整流橋提供,而不能由系統電網的基波無功來轉化,因為無源濾波器的基波諧振電路吸收了基波。因此往往對輸出電流中的諧波成分進行計算,而不考慮基波成分。在考慮電網電壓對有源濾波器的影響時,需要檢測輸出電流的基波成分,而且對電流的流向也需要判斷,以確定功率的流向,從而用來確定是否切斷有源濾波器。
根據有源電力濾波器的工作原理,在正常工作時,系統輸出電流以諧波成分為主,而且在混合有源濾波器的拓撲中,由于基波諧振電路的影響,系統本身不能補償無功功率,因此系統輸出電流基本不包含基波成分。如果電網電壓發生瞬變,從無源濾波器中將有大量基波電流流入有源濾波器,這時就可以通過檢測輸出電流以切斷有源濾波器與電網,保證有源濾波器的安全。
由此可以看出,輸出電流的檢測不僅是系統閉環控制的需要,也對保證系統安全運行有很重要的作用。因此在選擇電流傳感器時需要考慮:一、電流傳感器的帶寬需要滿足有源濾波器補償諧波的最高頻率。二、響應實踐需要滿足系統安全運行,也就是在直流電容過壓前要將有源電力濾波器與電網切斷。三、滿足額定電流和精度的要求。根據以上幾點,在實際應用中,系統選用了LEM公司的
5. 結論
本文從電網的角度分了混合有源電力濾波器在電網電壓變化時的有源濾波器直流電容電壓的變化,得出電網電壓瞬變時可能造成電流電容過壓,損壞有源濾波器。在此基礎上給出解決方案——通過檢測輸出電流來判斷是否需要將有源濾波器與電網切斷。
參考文獻
[1] Gyugi L, Strycula E C. Active ac power filter[C]. Proc of IEEE/IAS Annual Meeting, 1976:529-535.
[2] 譚甜源,羅安,唐欣,涂春鳴(Tan Tianyuan,Luo An,Tang Xin,Tu Chunming). 大功率并聯混合型有源電力濾波器的研制(Development of high-capacity hybrid power filter)[J]. 中國電機工程學報(Proceedings of the CSEE),2004,24(3):41-45.
[3] 王兆安,楊君,劉進軍( Wang Zhaoan,Yang Jun,Liu Jinjun ). 諧波抑制與無功功率補償( Harmonics suppression and reactive power compensation )[M]. 北京:機械工業出版社( Beijing: Mechanical Industry Press ), 1998.
[4] Peng F Z, Akagi H, Nabase A. A new approach to harmonic compensation in power systems-A
combined system of shunt passive and series active filters[J]. IEEE Trans Ind Appl, 1990, 26(6):983-990.
[5] Fujita H, Akagi H. A practical approach to harmonic compensation in power system-series connection of passive and active filters[C]. IEEE IAS conf Rec, 1990:1107-1112.
[6] 朱東起,馬大銘,姜新建( Zhu Dongqi,Ma Daming,Jiang Xinjian ). 無源和有源濾波器串聯構成的并聯型綜合電力有源濾波器系統( Combined power filter system of series connected passive and active filters )[J]. 清華大學學報(自然科學版)( J. Tsinghua University (Sci & Tech) ),1999, 39(3):49-52.