|
作者:張生昱 (北京泛華恒興科技有限公司)
摘要
噪聲定位與分析是對大型旋轉機械設備進行故障診斷的關鍵,所以如何在多噪聲源、多振動部件共存的復雜聲源環境精確定位噪聲的難題,一直是人們關注的熱點。麥克風陣列是一種常見的測試方法,這種非接觸式的測試手段在航空航天、汽車降噪、工程機械改良等眾多領域得到廣泛應用。其中,三維麥克風陣列綜合了綜合噪聲定位的時域、頻域分析方法,采用低成本、高靈活性集成方式,通過掃描觀測平面,確定噪聲源及振動部件,進而排查故障原因,實現噪聲定位與消除。新一代噪聲定位分析系統又被稱為“聲學攝影機”,為大型旋轉機械設備故障診斷提供靈活、快速、可靠的解決方案,這也是“柔性測試”技術在聲信號領域的一項成功應用。
關鍵字
麥克風陣 波束成形 噪聲定位 聲學攝影機
引言
汽輪機、航空發動機等大型旋轉機械設備的維護及故障診斷,一直是人們關注的熱點:一方面設備成本高,一旦發生故障,會造成嚴重經濟損失和安全生產障礙;另一方面,大型旋轉機械設備振動組件較多,有時需要采用非接觸式測量,導致故障診斷過程復雜,周期長,且不易定位故障位置。 新一代噪聲定位分析系統很好的解決了上述問題。該系統以陣列信號處理中的波束成形算法為理論依據,設計三維麥克風陣型,綜合噪聲定位的時域和頻域分析方法,采用低成本、高靈活性的集成方式,提供一種實時、快速、準確的噪聲定位與分析手段。這樣的實時分析與顯示,類似于攝像機,只是我們捕獲的對象是聲音,將聲音動態地呈現給觀測人員,因此又被稱為“聲學攝影機”。 下文將從噪聲定位原理、系統技術特點以及案例分析三方面深入闡述新一代噪聲定位分析系統。
噪聲定位原理
大型旋轉機械設備在運轉的過程中,每一個部件都在振動發出噪聲,然而當設備出現故障的時候,就會產生異常噪聲。人耳接收到的聲音往往是多個聲源的合成,還會包含多次反射或者折射后的混響干擾,所以人耳或者簡單的傳感器無法精確定位聲源,更別提確定聲音的強度以及特性了。為此,泛華恒興推出了新一代噪聲定位分析系統,從復雜的聲音環境中提取出由故障位置產生的噪聲源,并使聲音可視化,實現實時精確的噪聲跟蹤,進而排查故障消除噪聲(如圖1所示)。下面簡單介紹一下噪聲定位原理。

圖1 在復雜的聲音環境中使聲音可視化
本系統是利用陣列信號處理中的波束成形算法實現噪聲定位這一基本功能的。由于聲波的波前到達各個接收點的時間有差別,所以一個聲源到達不同麥克風陣元時間不同,就會有一組延時信息,而每一組延時都指向唯一的一個聲源,這就是我們進行數據處理的理論基礎。波數成形實質就是選擇加權向量,補償聲源到達各陣元的傳播時延,而這一過程是通過對觀測平面聚焦實現的。

圖2 一維麥克風陣聚焦過程
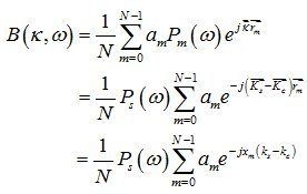
如圖2所示, 是被測聲源面上的任意聚焦點到測量陣列的聚焦波數, 為聲源的入射波數,聲源S聲強為 。波束成形的過程是將陣元測得的聲壓信號在聚焦波數 方向上進行聚焦,即假設聲波是由該聚焦點輻射出來的,進而選擇時延校正因子。這樣聚焦波數 方向上的聲壓輸出為:

其中,定義陣列模式為 ,它可以看作幅度加權 的空間離散傅里葉變換,而波數 相當于空間譜角頻率。當 時,聚焦波數 方向上假設的時延校正因子即為聲源真實的校正因子,各陣元的測量信號經過校正后具有相同相位,即聚焦到聲源, 輸出最大值;否則,各陣元校正后的相位不同,理想情況下加權后相互抵消, 輸出為零。 因此,噪聲定位分析系統相當于一個空間濾波器,增強指定方向上的聲音信號,削弱其他方向的信號。由于我們分析的故障噪聲頻率一般在10KHz以下,波長較長,所以采用近場波束成形算法模型,如圖3所示。

圖3 一維近場波束成形算法模型
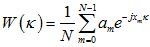
圖3是波數成形算法的一維分析模型,聲源S在 位置,聲強為 ,聲音到達陣列上第m個陣元時,陣元接收到的信號為:
其中 , 為聲源到陣元的延遲。將接收到的信號 對 上任意一個掃描點 進行聚焦,系統的聚焦輸出為 
其中 , 為假設聚焦點為聲源時到陣元的延遲,將公式2代入公式3,得到 
根據Dirichlet函數性質,當掃描到聲源的時候,系統輸出最大值,而且理想情況下,其他掃描點輸出為零。 以上是陣列信號中的波束成形算法的基本原理。進一步,根據對二維平面上的掃描和計算,就會得到觀測面的聲強圖。泛華恒興設計開發的新一代噪聲定位分析系統改進分析模型以及算法,采用低成本高靈活性的集成方式,實現實時準確噪聲定位。下面介紹噪聲定位分析系統。
噪聲定位分析系統介紹
新一代的噪聲定位分析系統,在陣型上從二維平面陣升級到三維空間陣,改進了分析模型(如圖4所示),對空間中的一個觀察平面上不同點的聲音強度進行掃描,繪制出一幅聲強的分布圖。

圖4 三維分析模型
整個噪聲定位系統相當于一個空間濾波器,根據選取的加權向量,對麥克風陣列中各陣元的測量值進行時延、加權以及求和,補償陣元間的傳播時延。這樣在期望方向上的信號,到達各陣元時具有相同的相位,獲得空間上的極大值,實現空間濾波。 如前文所述,麥克風陣列掃描平面上不同點聲音強度的過程,其實就是對聲源聚焦的過程,與照相機聚焦光波類似,麥克風陣列聚焦的是聲波,所以又被稱為“聲學照相機”。例如圖5這組對比圖,給定左側的實驗環境,僅憑人耳或者簡單的傳感器很難精確定位聲源,更別提聲源特性了,但是使用噪聲定位分析系統,給聲音環境“照相”,就可以是聲音可視化,并且可以確定聲源的強度及頻率等特征信息,實現真正意義上的“通感”。

圖5 給聲音環境“照相”
新一代噪聲定位分析系統可以動態實時的對聲波進行聚焦,所以更像是一臺“聲學攝像機”,系統具有如下優良特性:
- 陣型上采用三維空間陣列分布
采用三維的空間陣分布形式,并具有不對稱性,一方面可以在空間上具有消除混響干擾的功能,增強了噪聲定位分析系統在室內,以及具有豐富混響環境下的應用;另一方面擴展了有效頻率帶寬,在16KHz采樣率條件下,通過調整三維空間陣麥克風的分布,有效下限頻率可以到達500Hz,有效上限頻率可以達到8KHz。
- 算法上支持動態分析
新一代噪聲定位分析系統增添視頻采集功能,支持動態分析,實時處理采集到的聲音數據信息,錄制分析視頻,并且支持分析數據回放。綜合了噪聲定位的時域及頻域分析方法,提供更多的噪聲特征信息。
- 硬件上采用低成本集成方式
基于低成本、便攜式以及實時處理的思想,新一代麥克風定位分析系統將會采用自主硬件集成。不使用傳統的數據采集卡,省去外部走線,而是通過一個便攜式的處理器直接采集、預處理、計算。不僅便攜美觀,而且上位機被釋放出來,只承擔一些簡單的數據交互和顯示處理結果的任務。這樣實現了實時性處理的同時,使系統易用、好用、實用。
案例分析
機械故障綜合模擬試驗臺(MFS)是一種很好的探究故障診斷的振動仿真平臺,它可模擬機械設備的各種常見故障,例如軸承故障、動不平衡、不對中等。本文使用新一代噪聲定位分析系統對此仿真平臺進行噪聲定位與分析。
圖6 MFS案例分析 利用振動仿真平臺,設計實驗環境,在轉子軸上懸掛一個外側有螺栓孔的偏心轉子,控制轉速在2400rpm,根據分析,在此仿真環境下,主要的噪聲源是偏心轉子上產生的嘯叫。利用噪聲定位分析系統對仿真環境分析,得到如圖6所示的聲像圖,選擇噪聲分析頻率為4KHz,即轉速的10倍頻處。從圖中可以看出,此刻噪聲主要是由轉子軸上的轉子產生的,而通過連續采集分析發現該聲強周期性的增強,而這一分析結果剛好與事實相符。噪聲定位分析系統就是通過綜合時域及頻域噪聲定位方法,靈活方便地確定故障位置,以及故障產生的異常噪聲的時域、頻域以及倒譜域的聲音特性。為故障診斷提供了一種更直觀、更便捷、更多元化的解決方案。同時,測試系統的可靠性、精確性、適應性、靈活性和拓展性,也正是柔性測試技術所關注的。
總結
本文介紹了新一代噪聲定位分析系統,該系統以波束成形算法為理論依據,設計三維麥克風陣列,綜合噪聲定位的時域和頻率分析方法,并且采用低成本集成手段,支持用戶自定制陣列設計,為大型旋轉機械的設備維護和故障診斷提供便攜、實時、快速、準確的解決方案。
|