http://www.moduwu.com 2007-04-29 21:31 來源:中國自動化學會專家咨詢工作委員會
3 工業導軌式直流電源的基本調節原理
除了機械結構的設計和各種電連接方式之外,工業直流電源對控制調節的方法也是至關重要的。
一般工業直流電源分為非穩壓電源和穩壓電源。

圖1 工業直流電源分類
(1) 非穩壓直流電源
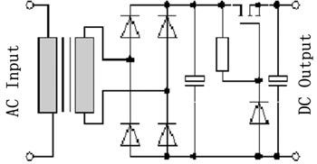
對于一個非工業穩壓直流電源來講,其電路非常簡單,交流輸入電壓經過一個50Hz的變壓器降壓后,進行橋式整流,再經過濾波電容進行濾波,然后產生輸出的直流電壓。

圖2 非穩壓電源的電路圖
由于這種電源采用了較少的部件,相對簡單的電路具有比較長的使用壽命及80%左右的效率優勢。而且價格非常便宜, 但是由于電源無穩壓功能,當輸入電壓波動或者輸出負載發生波動的情況下輸出電壓也會產生相應的波動。同時,無輸出保持時間,即輸入電壓和輸出電壓無延遲時間。一般非穩壓電源用于不需要恒定電壓輸出的電動機械負載,例如接觸器、電磁開關等。
(2) 直流穩壓電源
穩壓裝置目前有2種解決的方法,一方面是已被廣泛使用的線性穩壓電源,另一方面開關穩壓電源,隨著電力電子技術的不斷發展使越來越多場合采用了開關穩壓電源。
(3) 線性穩壓電源
線性穩壓電源中,交流輸入電壓通過一個50Hz的變壓器進行變壓,然后進行橋式整流,并通過濾波電容進行濾波,這部分與非穩壓電源是非常類似的。
經過濾波后,穩壓回路由一個功率三極管構成的穩壓回路進行調節,功率三極管相當于一個可變電阻,輸出電壓的高低與這個“可變電阻”的比值成反比,這樣通過改變三極管的阻抗特征來保持輸出電壓保持不變。

圖3 線性調節直流電源的原理圖
根據電路結構,這類電路的效率大約在40%~60%之間。功率耗損主要發生在50Hz變壓器、濾波器、晶體管和閉環控制電路中。輸入電源的變化范圍很小,但是可以達到很小的紋波系數,對環境污染較小。對于線性穩壓電源來講,為了提供有用的功率和減少功率的損耗,變壓器必須被設計的足夠大。這意味著變壓器尺寸至少要增大50%。線性穩壓電源主要用于需要精確的恒定輸出電壓,并對諧波分量要求高的場合。
(4) 開關穩壓電源
在開關穩壓電源中,交流輸入電壓直接進行整流,進行濾波,然后又逆變為交流,這些逆變操作是在頻率40kHz~180kHz的功率開關晶體管進行。這時產生的矩形波電壓通過一個高頻變壓器進行變壓或降壓,開關穩壓電源中于線性穩壓電壓的區別在于開關電源是先整流后變壓,穩壓電源是先變壓后整流的。

圖4 開關穩壓電源的原理圖
在開關電源中,最關鍵的技術是直流—直流的轉換。這里運用了一個開關晶體管將直流電壓進行斬波,然后再進行變壓。變壓后的交流電壓的頻率比起線性穩壓電源頻率要高的多,在線性穩壓電源裝置中,晶體管被當作一個可變電阻進行工作的,有一定的電阻量,而在開關穩壓電源中,晶體管處于開關狀態,這時大大的減少了在晶體管上的功損耗,變壓器的體積和重量可以被大大減小。高頻的交流電壓經過濾波回路再次被平滑。輸出負載上得到一個直流電壓。 輸出直流電壓的穩壓調節由脈寬調制器來實現,即在開關晶體管工作在一個固定頻率下,但改變接通時間長短(脈沖的寬度),以保證當負載發生變化時,輸出電壓保持不變。在一個周期內傳輸的能量可隨占空比ρ變化而定。
ρ = (tON) / (tON + tOFF)
這里周期時間為(tON + tOFF),tON為開關晶體管接通時間,tOFF 為開關晶體管關斷時間,ρ表示開關晶體管接通時間所占整個周期的比例,可見占空比越大的話,輸出電壓越高。這周期時間的倒數稱為開關頻率。

圖5 脈沖占空比圖
開關電源的效率一般達到80%~90%以上,最近推入市場的德國普世電源效率達到了95.6%,比線性穩壓電源的效率提高了50%以上。因此開關電源中產生的熱損失更少,設備變得非常輕巧和緊湊。開關電源采用高頻進行變壓,可用高頻變壓器, 這樣一來變壓器的體積大大減少。電源的功率密度大大提高。較低的熱損耗、緊湊的設計以及較寬的輸入電壓范圍使的開關最適合用于分布式的控制柜中。目前在工業自動化領域應用中廣泛的使用。
4 工業導軌式開關電源的變換器類型
對于開關電源來說,可采用不同類型的變換技術。一般來說,必須對單端變換器和推挽式雙驅動變換器做出區分。
單端變換器是最簡單的開關電源變換方式,主要分為單/雙晶體管反激式和單/雙晶體管正激式。雙驅動變換主要為推挽式。

圖6 開關電源變換器類型