作者:張寶剛 顧飛 (北京中科泛華測控技術有限公司 系統開發工程師)
摘要:點火線圈的質量直接影響汽車的整體性能,本文從系統構成、測試原理、工作狀況、軟件實現及應用等方面介紹了一種基于“柔性測試”技術并結合虛擬儀器技術設計的汽車點火線圈測試系統。該系統具備測試效率高、性能可靠、測量精確、自動化程度高等特點,可滿足實際生產線的終檢需要。
關鍵詞:柔性測試技術;虛擬儀器技術;點火線圈;測試系統
隨著汽車工業現代化進程的加快,汽車電子制造業正處于蓬勃發展的黃金時期,汽車制造廠商對于汽車電子產品的測試要求也從簡單的合格與否轉向多性能指標綜合測試過渡。點火線圈作為汽車點火控制系統的重要組成部分,其指標將直接影響汽車的動力學性能和整體性能。
點火線圈測試需求分析
中國將逐漸成為點火線圈在全球的制造中心,預計未來幾年內點火線圈年產量將會超過一千萬只。與此同時,國內點火線圈測試設備比較落后,自動化水平低且智能化程度不高,難以滿足現代化大規模生產的需要,研制具有自主知識產權的自動化點火線圈測試設備,具有重要的現實意義。
對于汽車點火線圈生產線,要求其設備具有經濟、高效、自動、靈活等特點,而且需要高產能和高可靠性。同時由于點火線圈性能指標繁雜,生產環境要求苛刻,這都使得單一的測試工作站無法兼顧如此多樣的指標測試。生產廠家希望設備一次投入使用后,能夠最大限度地得到收益,使設備資本投入的有效性更加充分。同時為了保證生產質量,設備需要具有一定的生產過程統計穩定性,從而最大程度減少由于操作人員的人為因素對生產質量的影響。
綜合考慮上述因素可以看出,汽車點火線圈測試所需要的不單是幾個簡單的測試儀器,而是一套機電軟結合、自動化水平高、運用靈活的測試系統,這便是“柔性測試”技術所倡導的。實踐證明,以“柔性測試”技術為核心設計的汽車點火線圈測試系統能夠滿足汽車行業對點火線圈終檢的要求,推動行業測試水平的發展和提高。
“柔性測試”技術
隨著社會的發展,技術的更新和客戶需求的不斷進步,測試要求也在不斷變化。這導致測試系統除了需具備精確性和可靠性等基本要求外,還要更多的考慮到系統的靈活性、適應性和擴展性。“柔性測試”技術就是在這種情況下提出的,它的提出為測試測量行業的發展奠定了堅實的技術基礎。
“柔性測試”技術是集虛擬儀器技術、測試測量技術、機電一體化技術、軟件技術、通信及網絡技術等于一身,專注于研究測試測量系統整體功能及性能的專業測控技術。它以測試測量系統的精確性、可靠性、靈活性、適應性和擴展性為研究和開發目的,為用戶提供充分滿足其需求的、可信賴的系統。
系統簡介
系統外觀如圖1,該系統以“柔性測試”技術位核心理念,采用模塊化、系統協調聯動、高壓屏蔽等技術,實現了對筆式點火線圈的各項功能、電氣性能指標的全面測試。系統由美國NI公司的硬件產品、西門子的PLC系統及配合泛華測控自主開發的高性能軟件和配套電氣附件組成。它是全自動化的測試流水線,測試過程和被測件的傳遞過程全部自動完成。此系統主要由點火工位、通斷測試工位、性能測試工位、激光打碼工位組成,可以完成點火線圈的點火測試、初級線圈通斷、次級線圈電阻、初級線圈電流和次級線圈電壓等內容的同期檢測,如表1所示。
表1 系統典型指標
|
名稱
|
典型測量范圍 |
精度 |
|
節拍 |
|
30S/4只 |
|
點火次數計數 |
0-10000次 |
±1次 |
|
初級線圈電流 |
0~20A |
±0.05 A |
|
次級線圈電阻 |
0~10kΩ |
±0.1Ω |
|
次級線圈電壓 |
0~40KV |
±0.05KV |

圖1 系統正面外觀
系統構成及工作原理
系統硬件構成
筆式點火線圈綜合測試工作站的核心是基于PXI總線的虛擬儀器技術。PXI系統是將CompactPCI的集成式觸發功能與Windows操作系統結合在一起,比臺式PC機具有更高的可靠性和性能,也更適用于工業系統。內建有高端的定時和觸發總線,可配以各類模塊化的I/O硬件和相應的測試測量開發軟件,方便建立完全自定義的測試測量方案。本系統通過采用定時、觸發設備及最佳的LabVIEW軟件開發平臺,結合PXI的虛擬儀器,簡化并加速了復雜系統的開發過程。
系統組成如圖2所示,系統采用上下位機設計。上位機核心是PXI系統,主要由PXI機箱、控制器、數字I/O模塊、示波器模塊、萬用表模塊、計數器、信號調理和編程電源等模塊組成。PXI系統內部通過PXI總線進行數據傳輸。另外,由于此系統是全自動化測試流水線,運動過程全部由汽缸控制完成,所以下位機采用了西門子S7300系列PLC系統,主要完成對氣缸的動作控制以及狀態監測。上下位機通過數字I/O握手方式進行通訊。
控制器通過顯示器、鼠標、鍵盤實現人機交互。
數字I/O模塊的功能是上下位機通訊、報警系統的控制、各工位狀態、光電傳感器、急停按鈕、鼠尾開關等的檢測;從而實時地將系統中各傳感器統一結合起來,為系統時效性和安全性提供了有力保障;
示波器模塊主要完成初級線圈電流和次級線圈電壓波形采集、顯示工作;
萬用表模塊主要測量點火線圈的初級、次級線圈電阻,判斷點火線圈的通斷情況;
計數器模塊在點火線圈初級線圈上產生頻率、占空比可調的EST激勵信號,控制點火線圈次級線圈產生高壓。另外,點火波形通過信號調理電路轉化為標準TTL電平信號,并通過計數器對點火成功次數進行統計;
GPIB儀器通信模塊主要完成可編程電源的控制;
可編程電源模擬車載蓄電池,向系統提供點火能量;
此外,系統中的信號調理電路包括高壓限幅電路和繼電器切換電路模塊,主要實現點火波形調理、電壓衰減、整形、高壓限幅、保護、繼電器切換等功能。

圖2 測試系統構成
系統工作原理介紹
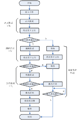
本系統是全自動化檢測系統,待測工件安放完畢后,撥動鼠尾開關給系統以開始信號之后系統將自動完成工件的傳遞和全部工位的指標檢測,并最后根據檢測結果判斷工件的優劣對其進行打碼,回收或是廢棄處理。系統設計過程中綜合考慮了該系統測試的特殊性,最終對每一個測試工位均制定了合理的測試方法和設計方案,系統整體工作流程如圖3所示。

圖3 系統工作流程圖
點火工位主要完成點火線圈的點火檢測。系統可以同時完成四路點火測試。點火線圈采用很高的次初級線圈匝數比,利用電磁感應原理接受變化的低壓激勵,并產生高達40Kv以上的高壓放電。高壓高頻測試和電磁干擾是這個工位的主要技術難題。測試過程中將被測件放置在卡具上,撥動鼠尾開關,機械手自動運行,壓緊被測件,系統自動打開編程電源,產生EST激勵信號,進行點火測試。為了避免高壓高頻放電過程產生的噪音對其他工位的影響和干擾,保證系統穩定性,點火測試在密閉的屏蔽箱內完成,系統采集高壓點火波形,經過信號調理電路轉換為標準TTL電平,通過計數器對點火成功次數的計數,判斷測試件是否合格。
點火測試完成后,機械手自動將被測件抓取到通斷測試工位。通斷工位主要完成初級線圈通斷和次級線圈電阻的測試。這里采用了單通道萬用表模塊,所以需要配合繼電器切換控制電路依次完成四個線圈的測試。
通斷測試完成后,機械手自動將被測件傳遞到性能工位,此工位完成初級線圈電流和次級線圈電壓的測試。系統控制Counter計數器模塊產生EST信號,并自動打開程控電源,控制點火線圈完成充放電過程。電流信號通過電流鉗探測并轉化為標準電信號。電壓信號檢測在綜合考慮成本的基礎上使用較經濟的高壓電阻分壓方案,通過示波器完成波形的采集。
測試內容完成后,機械手將被測件傳遞到打碼工位,并且根據測試結果程控改變打碼機打碼內容,完成打碼操作。合格件被放置在傳送帶上,自動運輸到操作員工位。不合格件機械手自動扔進廢品箱,并通過傳感器對成品和廢品個數分別計數并加以統計。
系統軟件的實現
軟件是虛擬儀器技術中最重要的部分,也是“柔性測試”技術的核心元素之一。使用正確的軟件工具并通過設計或調用合理的程序模塊,可以高效地創建人機交互軟件。
系統軟件開發平臺選擇NI公司的LabVIEW標準圖形化開發環境,它內置信號采集、測量分析與數據顯示功能,摒棄了傳統開發工具的復雜性,既提供強大的測控功能,同時還保證了系統靈活性和開發高效性。LabVIEW將廣泛的數據采集、分析與顯示功能集中在了同一個環境中,可以方便快捷地集成一套完整的應用系統。并且在以后的系統維護、功能擴展及系統移植上有著突出的優勢。
由于LabVIEW采用數據流驅動編程技術,對實現并行流程處理有著天然的優勢。本測試系統中采用自動傳遞結構,四工位并行測試,主程序框圖如圖4所示。采用LabVIEW為開發環境可以在整體上提高系統的工作和開發效率。

圖4 主程序框圖
軟件在功能實現上采用模塊化設計,特定的模塊實現特定的功能。主要由用戶管理、參數配置、自動測試、數據查詢、調試工具及幫助文檔等模塊組成。其中調試工具模塊又分為調試面板、手動調試、單步調試和樣件調試4個模塊,如圖5所示。

圖5 軟件組成模塊
為了生產安全和質量保證的需要在軟件中設計了用戶登陸與權限管理模塊,可以分配管理員與一般操作者兩種權限,一般操作者只有操作權限,系統自動屏蔽參數配置、數據查詢等功能。管理員可通過參數配置模塊實現對編程電源電壓、EST信號頻率、占空比、判斷閾值等參數的設置、加載、保存等功能。自動測試模塊為本系統核心模塊,此模塊完成系統的主要測試和統計記錄功能,程序可自動根據各工位上有無工件的變化,從上位機發送相應命令給下位機,令其自動完成被測件在各工位間傳遞、測試、數據顯示、保存和數據統計等工作。雖然本系統為全自動測試系統,但為了系統調試方便以及應用的靈活性,專門設計了調試工具模塊,在這里可以完成單工位測試、氣缸動作單步測試、傳感器檢測、報警燈調試等功能。
筆式點火線圈綜合測試系統界面采用Windows XP風格設計,如圖6所示,整個軟件界面簡潔、美觀、操作方便。主界面由測試結果統計區、狀態顯示區、測試結果顯示區組成。測試結果統計區可實時顯示每個工位的測試總數、通過率等情況。狀態顯示區可顯示各工位的暫停、測試中、測試結果等狀態。并且在測試過程中以綠色顯示表示該工位檢測合格,以醒目的紅色顯示表示工件未通過檢測,簡單明了。同時軟件界面采用中英文雙語設計,在進入主界面前系統將會提示操作人員選擇操作語言,使得系統操作簡單方便。

圖6 測試系統軟件界面
結語
汽車筆式點火線圈綜合測試系統是以“柔性測試”技術為核心,并基于虛擬儀器技術的綜合測試系統。它成功地將PXI和PIC溶于一身,實現了機電軟一體化、多工位、多性能指標同時檢測的設計目的,達到了系統性能的最優化。該系統具備測試效率高、性能可靠、測量精確,自動化和智能化程度高的特點。在測試過程中無需人工干預,極大地減少了人工操作對系統性能和生產效率的影響。在系統的穩定性、靈活性和抗干擾能力上都有著最優的表現,并且測試精度穩定,滿足GR&R測試要求。此系統已成功應用于美國德爾福汽車筆式點火線圈生產線上的終檢測試。
參考文獻
[1]廖傳書,韓屏.基于職能控制的汽車點火檢測系統[M].微計算機信息,2005.
[2]李令舉.汽車工程電子新技術[M].人民交通出版社,1999.
[3]寇國璦,楊生輝.汽車電氣與電子控制系統[M].人民交通出版社,2003.