|
李定軍
關鍵詞:PID控制;LabVIEW;NI DAQ設備
在自動控制中,一個系統的運行要求能夠滿足給定的性能指標,具有抗干擾能力和穩定性。對于被控制的對象,其本身的物理結構和工作過程是一定的,在給定信號作用時,對象的輸出并不一定能滿足系統的性能要求,所以需要加入一個控制器。控制器與被控對象以閉環的形式構成系統,以幫助整個系統的輸出滿足給定的性能指標,而控制器運用的控制規律多種多樣。
PID(Proportional Integral Derivative比例微分積分)控制是控制工程中技術成熟,應用廣泛的一種控制策略,它經過長期工程實踐,已形成了一套完整的控制方法和典型的結構。
PID控制
PID控制器結構簡單、穩定性好、工作可靠、調整方便。當被控對象的結構和參數不能完全被掌握,或得不到精確的數學模型時,控制理論的其它技術難以采用,系統控制器的結構和參數必須依靠經驗和現場調試來確定,這時應用PID控制技術最為方便。因此當我們不能完全了解一個系統和被控對象,或不能通過有效的測量手段來獲得系統參數時,就是PID的用武之地(圖1)。

圖1 PID控制系統
PID顧名思義,就是根據系統誤差利用比例,微分,積分計算出控制量進行控制。比例,積分,微分這三個環節又相互獨立,有各自不同的作用,在現場也可以根據實際情況來選擇使用。
P控制(比例控制)
如果控制器的輸出僅僅與誤差成正比關系,即u(t)=Kpε(t),便構成了一個比例控制器,可見比例控制器實際上是一個增益可調的放大器(圖2)。比例控制器通過改變比例放大系數Kp調節輸出,對誤差的反應很快,但是其輸出與期望值之間總是存在一個穩態誤差,必須使用手動復位來消除,在實際運用中很不方便。提高Kp值可以增加系統的開環增益,使穩態誤差減小,還能夠增加系統的快速性;但容易使系統的穩定程度變差,振蕩變多。而當Kp值小時,又會使系統動作變得緩慢,所以校正系統很少單獨使用P控制。

圖2 比例控制
I控制(積分控制)
由于P控制存在穩態誤差需要手動復位,人們發現可以通過引入一個積分項來消除穩態誤差。積分控制器的輸出與誤差信號的積分成正比,即  ,所以PI控制器的輸出有:

。ㄊ1)
積分項對誤差進行積分,隨著時間的增加積分項增大,只要誤差還存在,就會不斷輸出。這樣,即便誤差很小,積分項也會隨著時間的增加而加大,推動控制器的輸出增大使穩態誤差進一步減小,直到等于零,以達到消除穩態誤差的目的。因此,PI控制器,可以使系統在進入穩態后無穩態誤差。但是對時間的積分必將影響系統的快速動態性能,對于一些系統會出現超調過大的現象,嚴重的甚至引起系統崩潰。
D控制(微分控制)
積分控制的動態性能不好,而微分項恰好可以彌補這點。微分控制器的輸出和誤差信號的微分成正比,即  ,所以PD控制器的輸出有:

(式2)
微分作用反映的是誤差信號的變化率,所以對系統控制具有預見性,能預見誤差的變化趨勢,因此能產生超前的控制作用。甚至在誤差形成之前,可能已被微分調節作用消除。所以如果微分時間選擇合適,可以減少超調和系統調節時間,使系統的動態性能大大提高。微分控制在實際運用中經常用來抵消積分控制產生的不穩定趨勢,但因其反應的是誤差的變化率,所以僅對動態過程作用,通常不單獨使用。而且微分控制對噪聲干擾有放大作用,過強地調節微分項對系統抗干擾能力不利。
PID控制
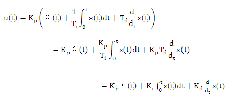
PID控制即比例控制、積分控制、微分控制的組合,綜合了3種控制器的優點。在實際運用中,有時也不需要用到全部的3個部分,只有比例控制單元是必不可少的。對于PID控制器,輸出為:

。ㄊ3)
PID控制實際就是根據經驗,對Ki,Kd這3個參數進行整定,以得到合適的輸出值對系統進行控制。具體如何整定,根據不同的現場有所不同。目前PID不僅應用廣泛,發展也很快,已研究出很多對這3個參數進行自整定的智能控制器。在和計算機這樣的數字控制器結合后,還出現了數字PID的設計方法,不過具體原理還是遵循于傳統。
|